报告题目:Non-degeneracy of solution for critical Lane-Emden systems with linear perturbation
报 告 人:胡奕辰 助理教授(永利集团3044欢迎光临)
报告时间:2024年9月29日 (周日)11:40-12:10
报告地点:数学楼115(大报告厅)
校内联系人: 崔建楠 联系方式:84708354
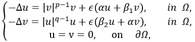
报告摘要: In this talk, we consider the following elliptic system

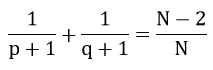
where Ω is a smooth bounded domain in R , N≥3, ϵ is a small parameter, α, β₁ and β₂ are real numbers, (p,q) is a pair of positive numbers lying on the critical hyperbola

We first revisited the blowing-up solutions constructed by Kim and Pistoia in JFA(2021) We first revisited the blowing-up solutions constructed by Kim and Pistoia in JFA(2021) and then we proved its non-degeneracy. We believe that the various new ideas and technique computations that we used in this paper would be very useful to deal with other related problems involving critical Hamiltonian system and the construction of new solutions.
报告人简介:胡奕辰,永利集团3044欢迎光临助理教授,2024年6月博士毕业于清华大学。主要从事偏微分方程的研究,研究兴趣包括:Hénon方程、曲率方程和Lane-Emden系统等。围绕这些问题已在Calc. Var. Partial Differential Equations、J. Differential Equations、J. Geom. Anal. 、Adv. Nonlinear Anal.、Ann. Mat. Pura Appl. (4)等杂志上发表论文12篇。。